BBC Internet Blog

Archives for December 2009

Round up: Monday 28th December 2009

Post categories:

Nick ReynoldsNick Reynolds|20:24 UK time, Monday, 28 December 2009

Some delicious extra portions and left overs from the back of the fridge:

BBC Research and Development blog presents three videos:

1.Navigating Audio - An Experimental Spiral

2.Making things Vanish -The Truematte Technology

Quentin Cooper ... is introduced to the incredible retro reflective cloth invented at BBC R&D which has transformed the use of Chroma-Key on set and on location.

3.BBC Trust visit to R&D - 3D Demo

If you've been following the BBC HD picture quality conversation you may be interested in this: "BBC HD 'in the clear', says Which? Labs"

Michael Briggs, Which? TV expert said: 'Even with the change in picture quality between programmes we assert that all BBC HD broadcasts are all of an HD quality. If there is any difference between the new HD broadcasts and the old HD broadcasts, then it is tiny, and smaller than the existing differences between any two HD programmes filmed in a studio or on location.'

And finally Tech Radar provides a handy list: 8 reasons the BBC Trust approved Project Canvas

Happy New Year!

Nick Reynolds is Social Media Executive, BBC Online

BBC iPlayer second birthday stats

Post categories:

Paul MurphyPaul Murphy|10:29 UK time, Wednesday, 23 December 2009

There's a press release on the BBC Press Office website that has some numbers for iPlayer over the last year that you might be interested in. Some of the release's headline statements include:

  • BBC iPlayer celebrates second birthday with record numbers reaching 88.2 million requests
  • Top Gear most watched programme of the year on BBC iPlayer
  • Figures reveal popularity of BBC shows by device
  • New data suggests that people take BBC iPlayer to bed

You can also see the use of iPlayer on mobile by time of day which is where, I imagine, the last statement comes from.

Paul Murphy is the Editor of the Internet blog.

Project Canvas gets provisional approval from the BBC Trust

Post categories:

Paul MurphyPaul Murphy|16:32 UK time, Tuesday, 22 December 2009

I wanted to point out the BBC Trust's press release regarding its provisional approval for Project Canvas - although it was reported in the press yesterday it was actually published today. There are some interesting things to note in the release that highlight market impact and public value around Project Canvas but it's worth reading the Provisional conclusions and public consultation document in full.



Paul Murphy is the Editor of the Internet blog.

BBC Trust and iPlayer syndication

Post categories:

Rahul ChakkaraRahul Chakkara|15:50 UK time, Monday, 21 December 2009

This morning the BBC Trust published its findings in relation to a complaint about the BBC's iPlayer syndication policy. As the executive in charge of bringing the service to TV platforms, I wanted to give you a bit of background to this.

As we've said before, we aim to make the BBC iPlayer available to as wide an audience as is technically possible and economically feasible. At launch, almost two years ago now, the service was only a Windows-based product on the web.

But since then, we've now syndicated the BBC iPlayer to no fewer than 25 different devices and platforms. On TV, we have made BBC iPlayer available to the audience of Virgin Media, PS3, Nintendo Wii, Cello's iViewer last week, and (in Beta) on Freesat.

This process will accelerate in the New Year, with more and more internet-connected TV devices entering what is a fragmented market with varying standards. Instead of making a bespoke product for each device, we have chosen a way that we believe represents the best value to licence fee payers - we will make available a set of standard products to all; making investment in bespoke products only where high audience reach can be achieved.

Back in March, a company called IP Vision made a formal complaint to the BBC after we declined support for a product they were developing for their Fetch TV box. After the BBC Executive's Fair Trading Complaints Panel rejected the complaint in May, IP Vision appealed to the BBC Trust, which published its findings and conclusions today.

The Trust has rejected the main substantive points of the appeal, but, in terms of process, we do note that they have ruled that we should have assessed the competitive impact of our decision.

We also note the Trust's view that October's clarification of our syndication guidelines represented a change in policy that should have been ratified by the Trust. The clarification will now be considered as part of the Trust's review of the BBC's on-demand syndication policy, which begins in January 2010. We will rely on our pre-existing policy until the Trust complete their review.

It has been a great year for our audience as they access BBC iPlayer on multiple platforms - on PCs, mobile and TV. I look forward to building on this success next year with more platforms and devices.

Rahul Chakkara is Controller, TV Platforms, BBC FM&T.

BBC iD on message boards: update

Post categories:

Nick ReynoldsNick Reynolds|11:55 UK time, Monday, 21 December 2009

"I am so impressed that the shift from one technical basis to the other is so seamless. Someone deserves a medal!"
said tolhurst on the 6music message boards on Tuesday of last week.

It's pleasing to read. And confirms that from where I'm sitting the implementation of the new sign in systemBBC iD on BBC message boards has gone well (and I'd like to thank all the people who made it happen).

Nothing's perfect of course and if you have experienced any difficulties my apologies.

But some numbers Karen has put together indicates that from Tuesday morning until Thursday morning of last week more than 10,000 BBC iD accounts have been created. And only 24 users had sent emails to our Membership email to ask for help.

Here's a graph that shows the number of new BBC iD accounts created over the past few weeks:

idmbstatspageone.PNG

And this graph shows the impact of accounts being upgraded ("migrated") from the old system to the new one. In other words, not brand new accounts but accounts replacing and upgrading old ones:

idmbstatspagetwo.PNG

The BBC's remaining communities (e.g. h2g2) will be switched to BBC iD in the new year.

(Thanks to Karen for the graphs)

Nick Reynolds is Social Media Executive, BBC Online

Round up: Saturday 19th December 2009

Post categories:

Nick ReynoldsNick Reynolds|17:09 UK time, Saturday, 19 December 2009

There was a lot going on last week so here's an extra helping of interesting links you may have missed:

On the BBC Research and Development blog Alia Sheikh introduces us to "Collaberative Archive Navigation".

The Audience Experience research section has been thinking about different types and sources of metadata and why some might be more useful than others...

....Metadata can tell you what your content is. Metadata can tell you what the ingredients of your content are. If we drill down to a single unit of content - let's say a song - it can tell you what that is made of too. All of this seems irrelevant until you consider the problems that it can solve- the thousands of hours of digital content, and the person searching for that specific clip.

Earlier in the week Douglas Carswell MP was critical of the BBC's Digital Revolution project on his blog:

Surely, that's a bit like asking the Vatican to provide the commentary on the Reformation?

Jason Da Ponte of the BBC's mobile team shares his recent presentation at XLab in Sydney on his personal blog: "Mobile Connecting the Unconnected World".

James Cridland ex BBC has archived his list of BBC staff with blogs. James has kindly set up an OPML file if you still need the list. Thanks for the list in the first place James, and my best wishes.

And finally Head of BBC HD Danielle Nagler was interviewed on Radio 4's You and Yours last week (still available on BBC iPlayer).

Nick Reynolds is Social Media Executive, BBC Online

Round up: Friday 18 December 2009

Post categories:

Paul MurphyPaul Murphy|19:15 UK time, Friday, 18 December 2009

fourth_floor_sml.jpgIn the post about the Audio and Music Interactive departmental the other day we covered Radio 1's Meet the Listeners day where people could send in for free an MMS message of themselves to build up a picture of the station's users (NB: The promised video is now live and very good too.) Ewan on the Mobile Industry Review website has written the critical (and be warned, fairly foul-mouthed) Radio 1 Free MMS day: Great idea, 3 years too late about the day. James Simcock, a BBCer who worked on the project has responded in the comments.

The Death of the BBC is Adrian Hon's interesting post that's attracted some good comments on what the BBC is and isn't doing online and what Hon thinks it should be doing:

There are many good people at the BBC who are fully capable of commissioning original, high quality, public service games. They're smart, they're skilled, and they're motivated by a real desire to help people, but they're hamstrung by the lack of a coherent and consistent games strategy. I have yet to see any BBC games strategy be articulated, and believe me, I have asked many times over the past few years.

"We Record the Voices in Your Head"

Say What You Want to Hear, a series of two plays on Radio 4 in the new year, is after your contributions to develop their story. Here's the pitch:
It's time to write down those secret things you regularly say to yourself or wish that other people would just come out and say. We'll record them for you (using voices that may surprise and delight you) and all of us can finally hear what's going on inside each others' heads.
There are some great examples on the site, and this is the one that the Internet blog wishes it'd come up with.

"I no longer have any idea of what's going to happen"

New Media Age's Nigel Walley in Is internet-enabled TV not a dodo after all? writes:
So as someone who earns his living forecasting media change, I'd like to declare that all bets are off. The world has clearly gone mad and I no longer have any idea of what's going to happen.
So hold that thought in the season of round ups, reviews and predictions of the year/decade next time someone tells you they're the digital Nostradamus. (NB: We'll be doing our round up next week).

On the Radio Labs blog there's an update on Windows Media and Listen again that some of you will find useful:

I wanted to give you some information on the status of our tests of the Listen Again service in Windows Media. This will be available for UK and International users, as a replacement to the RealMedia offering (which is being deprecated) - and will cover National, Nations and Local radio services.

Paul Murphy is the Editor of the Internet blog. The picture at the top of the page shows the view from the fourth floor of Blog towers.

Channel 4 and Talk Talk join Project Canvas

Post categories:

Erik HuggersErik Huggers|15:00 UK time, Wednesday, 16 December 2009

This morning's announcement, that Channel 4 and Talk Talk are joining Project Canvas, is getting a fair bit of attention, which for me underlines the huge public and market interest in what we believe will be a groundbreaking intiative.

Channel 4 and Talk Talk now join the BBC, ITV, BT and Five as partners in the project, and together, we are seeking expressions of interest from other companies who share our vision of bringing broadband and broadcast content together through an open, internet-connected TV platform, and increase consumers' access to on-demand content and services.

Of course the BBC's involvement in the project is subject to BBC Trust approval, and we are expecting an interim decision in the near future. If the proposals are approved, then we can move ahead with the other partners to form a new joint venture to develop technical specifications, market a new consumer brand, build a common user experience, and build the technology platform. The project has its own home too, so visit https://projectcanvas.info to keep up to date with developments.

Erik Huggers is Director, BBC Future Media & Technology.

A&M Interactive departmental meeting

Post categories:

Paul MurphyPaul Murphy|14:45 UK time, Wednesday, 16 December 2009

webuniverse_600.jpgI spent Tuesday morning at the very enjoyable A&M (Audio and Music) Interactive departmental meeting. They organise them every three months or so to update A&MI staff on what's happening with different projects and across the department. The reason that it works so well is that it's structured as a series of show and tells topped and tailed by fairly brief departmental overviews of the last few months and what's coming up. There was a bunch of things shown that I can't talk about - mostly products in development - but you'll get to here about them all in due course.

Two recent things that caught my eye that I can talk about:

bullyproof slideBullyproof: a stop bullying campaign from Radio 1 that featured amongst other things videos with various celebrities with advice on being more confident and that ranged across the bbc website as well as social media partner sites such as Facebook, YouTube, Habbo, Bebo and Twitter. One of the main aims of the campaign was to alert users to the range of preventative measures they could take while online.

Meet the listeners: A day when Radio 1 listeners could send in MMS messages for free and have them displayed on the website in different formats. A simple but effective way of connecting with listeners. It also highlighted the vast array of different situations and places that people are in while listening to Radio 1. They received more than 42,000 messages on the day. There's a video of the pictures being made and should be up on the Radio 1 site by next week.

There were various break out sessions that ran in parallel and I chose this one:

Online storytelling or why links matter "Storytelling isn't just content. Online, it's just as much about links". Chris Sizemore, BBC Head of Navigation and Service, argues that the connective tissue online is nearly as important as the content itself. Chris looks at the significance of search-engine optimisation, links, url structures and information architecture. Join him to discuss how we help the BBC to tell stories in the interactive space. Chaired by Jem Stone.

60_40_300.jpgThe summary above, well, pretty much sums up what it was about. Chris argues that we should start allocating time not just to make things for the BBC website but also allowing time to make sure they're findable by users via search engines and across bbc.co.uk. He showed some examples that pull together output across news, TV, radio and standalone web products that were pretty compelling.

The morning was rounded off with Richard Bacon, shortly to move slots on 5 Live, in an entertaining conversation with Brett Spencer, the interactive editor for 5 Live, that covered topics like the use of Twitter to interact with audiences and Richard's recent appearance on The Thick of It.

(Ed's update: By popular demand, here's a picture of Richard and Brett.)
richard_brett_600.jpg

Images: the top picture is from Chris Sizemore's presentation: "Online storytelling or why links matter" and shows how BBC online (the red and pink blobs) should be full integrated with the rest of the web (the blue and green blobs) with links in both directions; the Bullyproof image is from the presentation given at the departmental meeting; the last slide shows Chris Sizemore and the 60/40 slide - "60% of our effort on content, 40% on links".

Paul Murphy is the Editor of the Internet blog.

The BBC Academy and College of Journalism

Post categories:

Paul MurphyPaul Murphy|15:48 UK time, Tuesday, 15 December 2009

Editor's note: Over on the About the BBC blog, the Director of the BBC Academy Anne Morrison has written a post about the BBC College of Journalism's website and the good news that it's now freely available in the UK. The site covers craft skills and ethics and values and there are hundreds of video and audio examples alongside interactive modules where you can test yourself. The site will be available by subscription outside the UK.

cojo.jpgIn becoming Director of the BBC Academy, as well as bringing together all of training and development at the BBC for the first time (my first and most obvious task), I've been determined to use the creation of the Academy to raise our ambitions for training within the BBC and to be much more explicit and proactive about our role in training the industry. The announcements we have made this week indicate a willingness to look outwards and understand the skills gaps in the industry...

The BBC College of Journalism website is a tremendous learning resource with master classes from leading BBC journalists like Evan Davis, John Humphrys, Robert Peston, Jenni Murray and Jeremy Vine, craft skills, ethics and values, videos, audio files and interactive modules. We have now made it freely available to everyone in the UK and, in the New Year it will be available by subscription abroad...

Read the rest of the entry: The BBC Academy and College of Journalism and leave a comment on the About the BBC blog.

BBC HD Picture Quality: some myths laid to rest

Post categories:

Danielle NaglerDanielle Nagler|17:12 UK time, Friday, 11 December 2009

Over the course of the last week, the debate about BBC HD picture quality which has been running since August has entered a new phase. The Head of Technology for BBC HD, Andy Quested, has serialised an extended review of his response to all the areas that have been covered over the course of the many posts on this subject, and included in that epic some insights into the results of the technical tests that have been carried out to assess picture quality. Looking at your comments I can see that there are still areas on which our views differ.

As I have said previously our BBC HD service is optimised to deliver to typical viewing set ups - it is not designed to be perfect at very close quarters, or on a 90" projection screen for example. No HD channel as a general rule will offer the same quality as bluray, any more than standard definition television offers the same quality as DVDs. The work that of course has taken place behind the scenes to assess whether - aside from our technical view - the majority of viewers watching in normal situations in their living rooms are happy with the picture quality on the channel has shown that as a group, they are.

In broadening the range of programmes we make in HD, and increasing the number of hours of programming made available, it is inevitable that there will be greater variation in styles. Standard definition television - at least from the BBC - does not offer a consistent "look", nor would we want it to. HD from the BBC does deliver in a range of styles - and that is not always the bright, crisp look which for some is synonymous with HD. There are a number of programmes that we make where that kind of appearance would feel very odd indeed. Different types of cameras used in different ways, with different techniques in post production, will deliver different outcomes. That is a key part of the migration of HD from the (albeit beautiful) margins of television to the mainstream. And it is in my view critical that as HD takes hold across television production there is scope for directors and producers to experiment. The challenge for those of us overseeing that progression is to take a view on the outcome of those experiments, to embrace those that deliver advances and to kill off those that don't. It is worth saying that there is a strict process of technical review for every programme delivered to the BBC (in SD or in HD), and that not every HD programme passes those tests, or proceeds to HD broadcast.

There has been a very thorough process of engagement by the BBC with these issues - both via the blog and through other routes. But that engagement in the debates around picture quality cannot automatically deliver agreement. There are programmes which some feel look disappointing, and others which are generally felt to look great. There have been no changes to the bitrate (of 9.7mbps) over this period. As we have indicated, there are some concerns that we have about picture handling in very specific circumstances by the new encoders. These are being addressed and will be fixed through software releases over the coming weeks.

But let me lay some myths to rest:

These are actions that we would have taken in any case because to produce an HD service which looks the same as an SD service would clearly be a waste of time The reduction in bitrate is not specifically related to Freeview HD - and to us it is absolutely critical that HD in general, and the BBC's HD service in particular, is available to everyone in the UK who wishes to watch it, whether that is through a subscription or a non-subscription route, or indeed on demand through BBC iPlayer.

The BBC is not launching BBC One HD early next year on Freeview - as one newspaper report has suggested. We are, of course, offering BBC HD (our existing service) through Freeview HD which will become available to consumers early next year in parts of the UK, and we will of course continue to look at how we can strengthen and expand the range of content which the BBC makes available in HD, recognising that you and others in our audience have indicated to us already that you would like to receive a BBC One HD service from us.

There will be no "closing down" of this debate, any more than there has been to date. At times for administrative purposes it makes sense to concentrate discussion on a particular topic within a single thread. I don't think there is anyone reading this blog who could legitimately claim that they have been unable to find somewhere within the BBC to make their views clear. Although our views may differ at times, I know that we do share a passion for HD as simply a fantastic way of bringing television pictures to life.

I feel that it is now time to draw a line under my further contribution here to the debate here. I'll be focusing on - and blogging about as appropriate - other issues relating to the development of BBC HD. And I will of course be keeping picture quality along every part of the HD production and broadcast chain under surveillance.

Danielle Nagler is Head of BBC HD, BBC Vision

Round up: Friday 11 December 2009

Post categories:

Paul MurphyPaul Murphy|15:45 UK time, Friday, 11 December 2009

internet blog's offices

What do winners do? They win.


Digital Revolution are offering you a chance to win things by making a short trailer for the forthcoming series or a short film on the series' themes using the rushes that they've made available on their website. So what do you win?
"Your short film or trailer could win a promo spot on the BBC Homepage and be seen by hundreds of thousands of people. The winners will also be invited to attend a documentary masterclass at the BBC and meet with a BBC Multiplatform Commissioning Executive."

By way of inspiration they've commissioned two pieces: Cassetteboy's mash up and Barry Pilling's stop-frame animation. Both are clever and funny, and that's not something we write very often on the blog.


Shock! "BBC hoodwinks bloggers with promises of links"


Earlier in the week Malcom Coles wrote on his blog:
"Shownar is a BBC site that tracks online buzz about BBC shows. Despite being paid for by the licence fee, it's pulling the wool over bloggers' eyes by claiming that, if you link to it, it will link back - but it's nofollowing the links."

What's the big deal about nofollow you may ask? Malcolm Coles himself quotes from Google (and it's a good explanation so we'll use it):
"When Google sees the attribute (rel="nofollow") on hyperlinks, those links won't get any credit when we rank websites in our search results."

Shownar's product manager Andrew Barron quickly responded on Coles' blog:

"Our decision to add nofollow to these links was to avoid spam and people gaming our site. For the Shownar prototype we are running on a very low moderation staffing level as Shownar's primary aim was to experiment with different ideas and see how feeds and data performed in the real world... Generally the BBC isn't a fan of nofollow but we followed the lead of sites that can be gamed by spammers (eg Twitter and Flickr) who do use it."

And there is more news on Shownar's future:
Shownar will be retired in a few weeks. The good news is the version we are creating for bbc.co.uk is going to be backed by the moderation support that means we should be able to remove nofollows for those non-commerical blog posts that are significantly about a BBC programme."
Phew!

blog offices

Canvassing your views


Projectcanvas.info launched this week as a site to keep up to date with the news on project canvas, the "proposed partnership between the BBC, ITV, BT and Five to build an open internet-connected TV platform, subject to BBC Trust approval." On the Internet blog Canvas director Richard Halton invited people's questions and comments and we hope to have a response on the blog shortly. In the meantime we'll let you know if there any Canvas-related announcements.


Research and Development


The BBC R&D team have been busy on the excellent R&D blog while still finding time to hang out with Maggie Philbin. As the normally laid back BBC R&Der Ant Miller wrote:
"Yes THAT Maggie Philbin! She came down this week with BBC Click to look at our soon to be vacated base. We'll post up a link to the Click piece when it comes up, but in the mean time she's written some very nice things about us on her blog. Thank you Maggie, it was a delight to meet you at last."

Some of you would have seen the Radio Labs post on Mooso, the music tagging game with a purpose. Now the R&D blog has joined in with a post on Mooso which goes into great detail on the thinking behind Mooso as well as details on how it was built. Well worth checking out.

But of all that, the most exciting news, for some of you at least, may be the fact that:

"R&D is currently in the proces of recruiting graduate or equivalently experienced engineers for our graduate training program. Details are available on our careers page...we need skills in a wide range of disciplines, and a blend of rigorous analytical capabilities along with innovative creativity. Engineering is not the only fruit!"

Paul Murphy is the Editor of the Internet blog. The picture is of Internet blog Towers which looks remarkably like the setting for The Thick of It.

The Hitchhiker's Guide to Encoding: The Salmon of Style (Or how programmes styles can change your view)

Post categories:

Andy QuestedAndy Quested|09:00 UK time, Friday, 11 December 2009

Friday


Programme Styles

The last area to talk about is programme style and the techniques used by producers. The HD Channel is expanding the range of programmes made and transmitted in high definition all the time. As the number of programmes grows we are bound to show some that don't appeal to everyone in the audience, just as any multi-genre channel would. Similarly some of the techniques and styles used will not match some viewers' expectations of what is or is not HD.

Posts have suggested we are changing the bit rate depending on the programme because individuals have seen something they really like the look of while others have suggested programmes are up-converted when they don't like the look. Neither is true. The bit rate has been constant since the change in August and the amount of up-conversion (or non-HD) allowed is still 25%. There is though a correlation between comments posted and some of the production techniques used to make HD programmes.
Techniques that cause the most debate are:

  • Motion portrayal (using 25p or so called "Film Motion")
  • Depth of field or focus
  • Noise & Grain
  • Softness & Smear

Motion Portrayal - Many programmes are shot using a camera's 25p option i.e. film motion. Drama and Natural History moved to HD from film and wanted to keep the same look. Technically there is more detail in a progressive image than the equivalent interlace image. I have mentioned this before in several posts.

Temporal resolution describes the motion of a sequence i.e. the duration of each frame in a moving sequence and therefore how far an object moves between frames.

Spatial resolution describes the detail of the image and is about the content of a frame.
The BBC R&D white paper WHP169: High Frame-Rate Television gives a very interesting insight on the relationship between the two.

At the moment though we leave the decision about motion type to the Producer and Director of Photography of the programme but there are times when we do comment on the inappropriate choice of 25i or 25p.

train_aq.jpgCaption: These two images are from the white paper. They are frame grabs of a moving train shot at 300fps (bottom image) and translated to 50fps (top image).

It is worth reading the paper if you want to know how the detail you can see in an image is very much dependant on the frame rate - unless there is no movement. However we are not talking 25 to 50fps to make the difference in clarity you see here it's more like 25 to 300fps!

Depth of Field - Drama productions often use focus to move the point of interest in a frame. Programmes such as Cranford and Wallander also use feature film style cameras with a very small or shallow depth of field which allows the point of focus to play a major role in the story.

There have been many comments about HD being pin sharp and some people believe an HD image should be in focus from the nose of the person in close up to the trees on the horizon. I think many people would find that incredibly distracting and (as some of the posts lead me to believe) people would just be looking at the image quality not the programme. Focus is a very useful programme-making tool, and when used well it adds to the look and feel of a programme.

Noise & Grain - as the range of programmes on the channel increases, we get programmes that are deliberately made to look "dirty" either by style of shoot or during post production. This technique is often used in the cinema too. However if overdone for television it will stretch the encoder and cause unpredictable quality changes. Programmes that do this will usually fail a technical review.

Softness & Smear - some programme makers do not want extremely sharp images and choose to soften the picture either with lens filters or in post production. Both series of Criminal Justice for example used softening to create a very distinctive look. However if this is overdone it will significantly reduce the image resolution and can increase the amount of noise in the image. We do try to limit the amount of lens filtering programmes use but if extreme image softening is required, we encourage people to it in post production so that if the end result is unsatisfactory at least we can ask for it to be removed.

Motion blur (or smearing) is another matter. It usually occurs when the camera shutter is not set appropriately. A programme shot at 25p should use a shutter speed around 1/50th sec (or 180˚). If the shutter is not turned on or is set too long, the images will smear. This doesn't look very nice and we do try and stop people doing it. If the producer wants to add motion blur, again it is always better to do it in post production. Doing it in camera is usually fatal!

Last thoughts:
It has been a marathon blog and has taken me a long time to write! But there was a lot to go through and a lot to check before I published. Over the last six days I have covered most of the technical issues raised in the four key picture quality blogs. I hope it has answered the questions you've asked and laid to rest some of the rumour.

Running through the sections day by day

I decided audio is always forgotten or left 'till last so I put it right at the front. I covered the recent audio issues we've had and some of the measures put in place to prevent them happening again if at all possible. More programmes are being delivered in surround sound now and I hope some of the recommendations due from the EBU next year will give people more confidence to try it out.

There is one thing that does crop up from time to time that I need you to watch (or should that be, listen) out for. Very occasionally the 5.1/2.0 switching gets stuck. It works very well for months then for no apparent reason sticks in 5.1. This has no effect on the audio but it's annoying for anyone using the switch information go to the Pro Logic option on an AV amplifier. Please keep letting me know if you spot it though and which programme is affected.

On Monday and Tuesday I looked at the history of HD encoding on the channel and the EBU recommendations covering programme making and transmission decision we made when the channel started. We review these decisions regularly and changes are made as and when the technology allows us to so.

Wednesday's and Thursday's posts covered how the tests are set up and the much requested PSNR and expert viewing tests results. It is fairly clear now that the new encoder is a lot more efficient than the old and more importantly, capable of many further upgrades as the technology continues to develop.

There is no doubt this series will cause much comment and raise more questions about image quality and encoding generally. I will try and answer as many as I can but in the end we may have to admit we will never be able to satisfy all of you when it comes to what is or isn't high definition.


Andy Quested is Principal Technologist, HD, BBC Future Media and Technology.

The Hitchhiker's Guide to Encoding: And Another Test...(Or PSNR and all that...)

Post categories:

Andy QuestedAndy Quested|08:50 UK time, Thursday, 10 December 2009

Thursday


PSNR Measurements


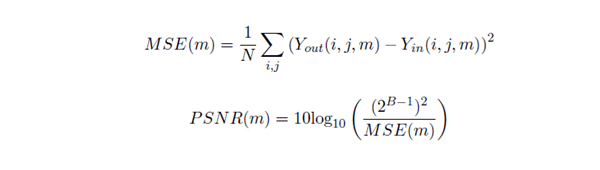
This bit is all maths and I make no apologies for it! It is one of the methods used to evaluate the effect processing has on signals and ultimately picture quality. PSNR is a derivative of the Signal to Noise Ratio comparing the maximum possible signal energy to the noise energy [1].

PSNR has been shown to have a high correlation to subjective picture quality (eyeballs) when a single codec is used and cross-references between sequences are not made [2].

diag_01.gif

Equation 1- the Mean Square Error (MSE) of the mth frame is calculated [3]. Yin and Yout represent the luminance of the input signal from the play out server and output from the encoder respectively, and Y(I,j,m) is the luminance value of the pixel in position (I,j) in the mth frame.

Equation 2 - the PSNR of the mth frame is calculated [3]. B is the number of bits per sample used in representing the video. The test procedure uses 8-bit linear pulse code quantisation.

In accordance with industry recommendations, only the luminance PSNR is measured [3]. Typical values for the luminance PSNR for emission encoding are between 30 and 40dB.

This is capped to a maximum figure because an 8 bit system cannot accurately represent the original, analogue video image. In practice, the industry recommendation uses a cap of 50 dB [3], almost 10dB lower than the theoretical maximum. Above 50dB the quality of the coded image is more than sufficient for all but the most critical applications.

The median PSNR is the value of the 50th percentile of the individual frame PSNRs of a sequence listed in ascending order. The accepted critical value for this type of measurement (as used by the Moving Picture Experts Group (MPEG) in deciding if a toolset should be included in an implementation) is 0.5dB.

0.5dB represents a visible difference in picture quality across the range of PSNR values. As the PSNR increases and coding errors become less visible, the visibility threshold increases above 0.5dB.

  • [1] L. Hanzo, P. Cherriman, and J. Streit, Wireless Video Communications - Second to Third Generation Systems and Beyond, ser. Digital and Mobile Communication. 3 Park Avenue, New York, NY, USA: The Institution of Electrical and Electronic Engineering Press, 2001.
  • [2] Q. Huynh-Thu and M. Ghanbari, Scope of validity of PSNR in image/video quality assessment, IET Electronics Letters, vol. 44, no. 13, pp. 800-801, June 2008.
  • [3]Objective perceptual multimedia video quality measurement in the presence of a full reference, International Telecommunications Union Telecommunication Standardization Sector - Pre-published Recommendation J.247, August 2008

PSNR of the current encoder setting compared to the old encoder.

The material used to test the encoders was a selection from the EBU test sequence and clips from the BBC HD Channel promotion.

All test material is copied to the playout server (100Mbs MPEG2 I-frame coding) and then onto the transmission encoder. The Final Cut Pro computer is used as a store for the transmission decoded material.

diag_02.gif

The results are displayed as curves on a cumulative graph. The x-axis is the measured PSNR and the Y-axis indicates the percentage of frames with a PSNR value less than or equal to that PSNR:

diag_03.jpg

The new encoder has a median PSNR figure 0.5dB greater then the old, a just noticeably improvement in perceived picture quality for the majority of the test sequences. However the very easiest, least critical material, where coding artefacts are usually not visible, coded with a better PSNR on the Old Encoder. We are looking into this at the moment but one explanation could be the new encoder handles image noise differently to the old encoder.

Reading PSNR curves is not straight forward. A difference of about 0.3dB is just visible to an expert viewer at normal viewing distance while a non-expert viewer will see a difference of 0.5dB or more, as mentioned in the last paragraph of the PSNR explanation.

Where differences occur in the curve is important, at the lower end (the further left you go) the more critical the measurement. At normal viewing distance a non-expert may see a difference in quality for a change of 0.5dB or slightly less. At the far right of the curve the picture quality is much higher and differences are more difficult to see so an expert may not see a difference under 0.5dB and a non-expert may not see any difference below around 0.75dB or even 1dB.

Mix/Fade problem

We were aware of a problem with mixes before the new encoder went into action. During tests it only appeared in certain modes and wasn't severe. The overall improvement in quality outweighed the degradation it caused.

Unfortunately one of the first live programmes to be transmitted was also a programme that would highlight the mix/fade problem.

The Match of the Day, West Bromwich Albion vs. Newcastle United game kicked off with a very high contrast change almost dead centre of the pitch. As the game moved from bright sun to deep shadow the cameras had to be racked over several stops (opening and closing the iris).

A mix as you know is a transition between two different images. Coding errors caused by the mix tend to be hidden by the changing images however racking a camera is actually a mix between two different brightness levels of the same image so there's no where for the errors to hide and they become very visible. I apologised and explained we were applying a temporary fix.

Although the temporary fix is still in place we have now seen an update that improves mixes, fades and lighting changes and are just waiting for it to be incorporated into a software upgrade.

While we had the location recordings of the match to analyse the mix error, we had a chance to compare the PSNR curves through the new and old encoders:

diag_04.jpg

For the majority of the sequence, the new encoder has a higher PSNR than the old with a median increase of about 0.2 dB (not a noticeable difference). The old encoder is better for approximately 8% of easy to encode scenes and 1% of difficult to encode scenes, but this is most likely due to the camera racking i.e. the mix/fade issue itself!

PSNR testing shows the new encoder is doing better than the old except where the source material has a significant amount of noise. To help this we are testing the encoder's noise reduction options to see if adding a small amount improves the look of noisy images. I will update the blog as soon as we have some results.

Subjective expert viewer evaluation

The second part of the testing process is all about looking at pictures. We use 42" plasma and LCD displays to do this, comparing the quality of the new and old encoders against the original material on the play-out server.

Expert viewing is a tricky business and as one of our experts discovered a risky one too! It involves watching the same set of images again and again and again and...

diag_05.jpg

To minimise the risk of complete insanity, it is usually better not to have the audio on.

However even this didn't prevent someone coming in to work one day and asking to be taken off picture evaluation for a while. He said was on the train just looking at the country side passing by when he was convinced he saw compression blocking in the leaves of trees. This is not something you want to happen - so be warned!

Evaluating picture quality this way means a long time spent in darkened rooms. We watched a lot of images from the EBU test material and the BBC HD promo tape, comparing the new encoder with the old encoder and the play-out server on each sequence. It is important to have the EBU standard sequences to judge picture quality but we also have a test sequence made up from material that has known problems and shots that are difficult to code, to test the encoders to the "limit".

The new encoder produces images that correlate quite closely to the PSNR results. Programmes with low or no noise are noticeably better than they were on the old encoder. However, where the original images have noise we can see it on the new encoder's output but not on the old, suggesting that the new encoder is attempting to pass on more of the original image and confirming that a bit of noise reduction should be tested.

Dark pictures are inherently noisy, either because there is gain in the camera or the signal has been stretched too far in colour grading. We actually have a very noisy sequence that has too much camera gain and was stretched too far in post production. We used it during the tests to push the system, and even turning the bit rate up to just over 16Mbs made no difference to the image. We are trying a few new and different parameters that seem to improve noise handling and reduce the effect on screen. Again I will keep you posted.

Tomorrow is the last part of this epic, I will look at some of the techniques programme makers use that can have an impact on perceived picture quality.

Andy Quested is Principal Technologist, HD, BBC Future Media and Technology.

The Hitchhiker's Guide to Encoding: Mostly Testing (Or how to set up an encoder test)

Post categories:

Andy QuestedAndy Quested|09:00 UK time, Wednesday, 9 December 2009

Wednesday

So what testing do we do and how do we do it?


Test results can only be seen to be accurate if as many variables as possible have been removed or at least minimised, and the methodology produces repeatable results.

Our picture quality assessment is based on a combination of Peak Signal to Noise Ratio (PSNR) measurement and expert viewing. Obviously, if done correctly PSNR measurements are accurate and repeatable within a very small tolerance range but the results are in the end only numbers. Eyeballs on the other hand, even expert ones, are slightly less predictable but can still produce repeatable results within an agreed tolerance but eyeballs are essential to judging overall picture quality of any device.

Removing Variables
Ideally the only variable in a test should be the device actually being tested. In a delivery chain with domestic devices from many manufacturers this is not as easy as it sounds and testing every combination of is just not possible.

To minimise the number of variables we use:

Test material - EBU test sequences used by all members for subjective picture quality testing.

Test Path - this is a duplicate of the actual transmission chain and includes the playout server and the continuity path. The playout server can also be bypassed to simulate live studio programmes.

Encoder - the bit we are testing!

Receivers - this is slightly more difficult because processing in set top boxes varies between different manufacturers and different models from the same manufacturer. For encoder comparison testing though we can use broadcast quality receivers. We also use domestic set top boxes from several different manufacturers to make sure the domestic receiver technology does not cause unexpected results.

Displays - this is even more difficult than dealing with receivers. We should use a graded broadcast monitor (a display where all the parameters are know and are adjustable to give a stable accurate image). There is still some debate around flat screen Grade 1 displays - until recently CRT was the only option and they're not easy to get hold of now!

In practice we have to think about what people are actually watching at home so we use 42" Plasma displays for comparisons and Plasma and LCD for quality assessment.

A 42" display is slightly bigger than the current highest selling TV size so this gives us a bit of head room during the assessments. The results will remain valid until the TV size passes 42" or the panel display technology changes dramatically (e.g. OLED or Laser etc.) and a new one takes over as the primary panel technology.

Viewing distance
- The ITU has set out criteria for viewing distance in the document ITU-R BT.500 "Methodology for the subjective assessment of the quality of television pictures"
In the section "General viewing conditions for subjective assessments in home environment" it suggests preferred viewing distance (PVD) measured in screen heights (h) for assessment of picture quality.

The PVD suggested for 16:9 screens are:
table1_600.gif

The BBC HD Channel expert viewing is done at 4h (four times the height of the display used) so slightly closer than the ITU recommendations. This is based on the premise that the average domestic viewing distance is somewhere between 4 and 6h. Some interesting work done by BBC Research (WHP090) suggests the most common viewing distance is actually 2.7m no matter what the screen size. This is not a "serious" piece of work, more an observation of current viewing habits!

How to calculate your viewing distance?

pic1_horizontal.gif

There are two ways to calculate the height of a 16:9 television:

1. Televisions size always refers to the diagonal so first calculate the angle of the diagonal (Θ°):

diag1_600.gif

Θ°= 29.36˚ All 16:9 televisions should have the same angle no matter what the screen size.

Using the angle calculate the height (h) of the television knowing the screen size:

diag2_600.gif

so (h) is near enough half the (Screen Size). Multiply this by 4 to get the viewing distance.

Unfortunately this assumes all televisions are actually 16:9 which they are not - so just in case method 2 might be more accurate!

2. Use a tape measure
Or just use the table below!

table2.gif

When the 4 - 6h criterion was originally devised, screen sizes around 42" would have been considered extremely unusual. Now 42" screens are common and could soon be the highest selling set size. Due to the distance between the television and the back wall of the room you watch it in; WHP090 may prove to be spot on!

In the quality viewing area at BBC Research there is a mix of set top boxes and display types. Viewing distance is set at 4h.

pic2.jpg

Eye sight - before the BBC HD test channel started, a few of us spent several days in a very hot room above a shop by Oxford Circus doing viewer testing of HD and SD. We had two top end (at that time) 40" flat screens and a 28" CRT, the highest selling TV size at the time. We also had a selection of BBC HD test material as this was before the EBU had agreed test sequences.

The pictures were coded in HD using the encoder profile we proposed to go on air with and also in SD using the BBC 1 encoder and bit rate. The HD signal was fed to one LCD and the SD signal to the other LCD and the CRT.

After the first day we had a number of results that suggested no difference between the SD and HD LCD - quite confusing because even viewing at a considerable distance there was a marked difference between the two LCD images.

The next day we took a standard eye test chart and asked anyone who couldn't see a difference between the two LCD screens if they would mind taking an eye test. Everyone who took the test should not have been driving without glasses and many of them didn't event realise they should see an optician!

Anyway the expert viewers do have eyesight within the normal sight range (with glasses if they usually use them for watching TV).

This sets out the criteria for visual picture quality assessment but as I said earlier, testing uses a combination of visual assessment and a Peak Signal to Noise Ratio (PSNR) measurement.

Tomorrow will be all about the picture quality tests and the PSNR test results.

Andy Quested is Principal Technologist, HD, BBC Future Media and Technology.

BBC iD on message boards on 15th December

Post categories:

Nick ReynoldsNick Reynolds|14:00 UK time, Tuesday, 8 December 2009

BBC iD, the new system for signing in to BBC blogs, boards and communities will be deployed on all BBC message boards from Tuesday 15th December.

BBC iD has been in use on the BBC iPlayer messageboard and Strictly Come Dancing messageboard for a while. If you've used these or a BBC blog you will already be using the new system.

From next week if you use a BBC message board you will be prompted to upgrade your account to the new system if you haven't already done so. The process of upgrading will be smooth and easy.

If you're a new reader and don't know what BBC iD is, Ian explains here. There are also help pages for BBC iD.

Also do use comments on this blog to give feedback.

Nick Reynolds is Social Media Executive, BBC Online

BBC Mobile: Carousel of Content

Post categories:

Jason DaPonte|12:10 UK time, Tuesday, 8 December 2009

mobile_carousel_300.jpgIf you've looked at the BBC Mobile homepage today, you'll have noticed we're giving you more choices than ever. Yesterday we launched a carousel of content in our top promotion area so that you can scroll through a range of content we're highlighting across BBC Mobile. It's available to a limited range of handsets right now but will roll out gradually to a wider range as we develop the technology.

This is part of our ongoing work to make the site the most personal experience of the BBC. You can customise the sections and amount of content and now you can get a bigger range of content on the top of the homepage. If you don't like Doctor Who on top of your homepage you can now flick past it and check out something you like more. Yes, we've heard your complaints about this section not being relevant enough to you and this is one way we're working to address that problem - and there's more coming soon.

Ulyssa MacMillan's development team are working on further improvements. Highlights from her roadmap include a more sophisticated user experience and navigational controls for the promo carousel for touchscreen devices, and using your personalisation settings to define the categories of promos - if you've said you don't like Football Gossip, we won't serve you Football Gossip. Watch this space for future updates.

That said, when I started in my job, there wouldn't have been enough content to call out 4 or more worthwhile pieces to promote each day - there's a lot more now. The volume of good content on the site is growing and getting closer and closer to providing an offer that's more like the full experience of BBC Online.

Jason DaPonte is the Managing Editor of the BBC Mobile Platform.

The Hitchhiker's Guide to Encoding: So Many Tests, and Thanks for All the Recommendations (Or the BBC and the EBU)

Post categories:

Andy QuestedAndy Quested|08:50 UK time, Tuesday, 8 December 2009

Tuesday

Many posts have mentioned EBU documents and recommendations. The BBC is a founder and very active member of the EBU. We take part in every aspect of the EBU's technical activities. I have been a group chair and currently lead the camera work of the P-HDTV group. We not only test using EBU standards, we were part of the groups that wrote the standards and recommendations in the first place.


BBC Research and Development is one of a diminishing number of European laboratories with the expertise and facilities to carry out testing for, and make contributions to the EBU's technical committee. I am extremely proud to work with the experts in BBC R&D and for the opportunity to contribute to the work they do.

Many of you have mentioned our current frame size and said:
"1440 Horizontal pixels is not HD"

To answer this I can point to several EBU documents that cover this point:

EBU - TECH 3328 Current Status of High Definition Television Delivery Technology (May 2008)
...In addition, the Sony HD-CAM and Panasonic DVCPROHD formats record only 1440 samples per line (with camera scanning at 1920 x 1080i/25). There is arguably no point in broadcasting material derived from this format at more than 1440 samples per line (although on the HD-SDI interfaces, a 1920x1080i/25 signal is carried).
A similar situation exists with the DVCPROHD format that horizontally sub samples (down-filters) the 1280 x 720p/50 format to 960 x 720p/50 (though on the HD-SDI interface, the signal is 1280x720p/50).

This document mentions 1440 and 960 as used in production. The HDCam tape format and some cameras that record to the DVCPro100 format use pre-filtering to reduce horizontal resolution before the signal is compressed. These cameras and formats are still widely used but are gradually being replaced by cameras and recorders that can compress the full 1920 or 1280 horizontal resolution.

Another document:

EBU - TECH 3333 EBU HDTV Receiver Requirements (March 2009)
The following image sampling structures shall be supported (see TS 101 154 V1.9.1, which defines further formats beyond those listed here).
1920 x 1080, interlaced, 25 frame/s (50 fields)
1920 x 1080, progressive, 25 frame/s
1440 x 1080, interlaced, 25 frame/s (50 fields)
1440 x 1080, progressive, 25 frame/s
1280 x 1080, interlaced, 25 frame/s (50 fields)
1280 x 1080, progressive, 25 frame/s
1280 x 720, progressive, 50 frame/s
1280 x 720, progressive, 25 frame/s

Tech 3333 is about receivers and shows 1440x1080 is an acceptable standard for high definition transmission.

It is worth pointing out that HD-Ready does not actually specify the horizontal resolution for an HD display. HD displays must have a minimum vertical resolution of 720 pixels and display 16:9 images correctly. There is no mention of the required number of horizontal pixels!

Several other posts have suggested the BBC is not meeting EBU standards for transmission with the current bit rate and have said:
"9.5Mbs is not in line with the EBU recommended high definition bit rates"

Again there are several EBU documents covering this point but the key thing to take account of is the date of the references. This document for example:

EBU Tech 3334 Accommodation of HDTV in the GE06 Plan (Feb 2009)
EBU tests of stand-alone MPEG-4 encoders of different vendors have suggested [5] the following minimum fixed bitrates in order achieve an HDTV image quality providing a significantly better quality perception compared to good quality SDTV (e.g. 6 Mbit/s MPEG-2) for a wide range, including critical content:
  • For the 1080i/25 HDTV format and horizontal sub-sampling to 1440 samples a minimum bitrate of 12 Mbit/s is recommended
  • For the 1080i/25 HDTV format and no horizontal sub-sampling a minimum bitrate of 12 - 14 Mbit/s is recommended
  • For the 720p/50 HDTV format and no horizontal sub-sampling a minimum bitrate of 10 Mbit/s is recommended.

The key here is the [5] after "suggested". Reading the bibliography, point [5] refers to:
EBU Tech 3328 (Current Status of High Definition Television Delivery Technology)

Tech 3328 is dated May 2008, and was published long before we started tests on the new encoders for the BBC HD Channel.

Bit rates are also mentioned in an EBU presentation by Adi Kouadio (Asian Broadcasting Union symposium in March 2009).


Trends & implementations of HDTV Broadcasting
...Minimum (video) bit rate to provide HD quality (from EBU tests - BPN085-087):
  • 720p/50 - 10Mbps
  • 1080i/25 - 12-14Mbps...

EBU test documents BPN085 to BPN087 detail tests carried out on specific encoders. These tests were undertaken over the last two years but none refer to the encoder we are currently using.

Tests have demonstrated that at transmission bit rates, H264 encoders should deliver approximately a 2:1 efficiency over MPEG2 encoders. Depending on the manufacturer and their current stage of development good HD at 8-10Mbs is achievable now.

The BBC has made contributions to most of the documents mentioned above and many others besides. We are also involved in testing and trials for high definition production, contribution and transmission compression and were one of the earliest activists in the latest round of HD activity in the EBU.

The majority of the documents produced by the EBU are Technical Recommendations and are based on work done at a specific point in time by the members. After publication many groups continue to work on revisions and updates to the recommendations as the technology behind the encoders (in this case) continues to develop and improve. EBU Tech 3334 acknowledges that:

...with the expected future developments in video coding, it is assumed that HD fixed bit rate requirements will be reduced to 8-10 Mbit/s per programme. There will also be advances in the transmission system such as DVB-T2...

For some strange reason the encoder manufacturers don't all bring their latest offering to market at the same time! Two or three times a year they do show off concepts or the next generation prototypes at the main trade shows but products to the broadcasters arrive as and when they are stable and ready. This year for example, several manufactures were showing early versions of HD coding at 4-6Mbs (average not minimum).

One final point worth noting here is the life cycle of the hardware. As I mentioned earlier, the old encoders had reached the end of their life but the new encoders are at the beginning. They exploit more of the AVC toolset than the old encoders even though we are on version 1 of the firmware. We will continue to add improvements as and when they are available.

Tomorrow I want to concentrate on picture quality analysis and how we set up the encoder tests.

Andy Quested is Principal Technologist, HD, BBC Future Media and Technology.


Us5: BBC online videos help people with learning difficulties make their choices

Post categories:

Jonathan Hassell|14:45 UK time, Monday, 7 December 2009

us5.jpgOne group who often get overlooked when people are discussing accessibility are the 3% of the population who have learning difficulties.

This is partly because there isn't enough known in the accessibility community about how to make websites accessible to people with learning difficulties, and partly because their needs - for pages based around pictures or graphics, with simple text and large buttons for navigation - can often be so different from the needs of other website users.

Back in 2005, we did some research into how people with learning difficulties felt the BBC served their needs. This research recommended that, while fewer people with learning difficulties were online than the general population, this underserved audience might benefit from us creating specific Internet content for them, based on their interests, predominantly using images and video, and working together with organisations who best understand them like Mencap and PeopleFirst.

Since then we've launched services like the CBBC Newsreader which have made BBC news more accessible to older children with learning difficulties, by providing a simple, switch-based interface around news stories which are read out to them by a high-quality synthetic voice.
And I'm happy today to announce the launch of Us5 - a set of interactive videos created by, for and with people with learning difficulties to help them think through one of the biggest issues affecting them at the moment - the opening up of more choices to them resulting from the Government's move to direct payments, individual budgets and self-directed support.

People with learning difficulties have never before been so able to choose for themselves how they live their lives and what they want to do. However, because they've seldom had the opportunity before, this freedom can come with a lot of challenges and responsibility.
Created for the BBC by Gamelab London, Us5 shows people with learning difficulties five video stories of people like themselves making big choices, and supports them in thinking through what they might do in the same circumstances, and what the consequences might be.

The project is special in a number of ways...

  • The video stories are 'hybrid fiction' - narratives based on 'true stories' developed and plot lined in workshops from the real experiences of young people with learning difficulties which are then simplified and engineered to bring home particular messages across five dramatic episodes.

  • The videos were acted by a company of actors with learning difficulties, specially put together for Us5 by producer Owen Smith and director Adam Koronka from Yarrow Learning Disability Charity (who previously made Coping Strategies), and featuring guest performances by Ainsley Harriott and Kellie Shirley (Eastenders)

  • Interactive comic strips are then used to allow users to try out different choices at the end of each episode to give users an immediate chance to make their own decisions.

  • Us5 is one of the very few materials online created specially for people with learning difficulties, and has been a chance for the BBC to better understand how to create fully accessible content for this audience.

  • Us5 has also been a chance for us to work together with Mencap, resulting in us sharing the Us5 videos as stimulus materials for engaging people with learning difficulties in Mencap's Plannet website - a new online planning model for young people with learning difficulties aged 16-25, which is currently in pre-launch testing. Plannet aims to enable young people going through transition to work towards self-directed support, which is part of the government's 25 year strategy on disability arising from the 'Improving the life chances of disabled people' report.

I'm delighted that, even though they were created primarily for the audience of people with learning difficulties, the quality and style of the resulting videos has already attracted one BIMA nomination, and a nomination for Best Children's Drama at this year's Children's Baftas.

Mark Goldring, Chief Executive of learning disability charity Mencap, comments:

"The Us5 films were a great opportunity for Mencap to work together with BBC Future Media and Gamelab to develop lively and relevant content to support the Mencap Plannet website. Mencap Plannet aims to deliver accessible and age appropriate materials for young people with a learning disability at a time when decisions over their future are so important."

The BBC 2005 report found that inexpensive broadband connections and multi-media content were key to making the web more accessible to people with learning difficulties. Now, approaching the end of 2009, broadband access is becoming cheaper all the time, and content like Us5 is providing a great example of what the Internet can offer to people with learning difficulties when their needs are specifically taken into account.

I hope this will encourage many more people with learning difficulties online - much has changed since those text-heavy days of 2005.

Jonathan Hassell is Head of User Experience & Accessibility, BBC FM&T

The Hitchhiker's Guide to Encoding: Life, Encoders and Everything (Or a brief history of HD encoding)

Post categories:

Andy QuestedAndy Quested|09:00 UK time, Monday, 7 December 2009

Monday

There has been a lot of discussion, speculation, rumour and some complaints about picture quality in blogs and posts ever since the BBC HD Channel trial started in 2006. When we started, real-time H264 coding was quite new and the early versions of encoders were not that much more efficient than the existing MPEG2 HD encoders.
EBU - TECH 3328 Current Status of High Definition Television Delivery Technology (May 2008)

... EBU investigations in 2005 showed that some MPEG-4 H.264/AVC hardware encoders did not show any bitrate advantage over MPEG-2 and in some cases even performed less well than MPEG-2 encoders. This situation improved by September 2006, and continued to improve in 2007 and 2008.

The original encoders ran at around 19Mbs and struggled to maintain the quality we wanted for a mixed genre channel.

Early in 2007 tests began on the new firmware. This was a substantial upgrade, introducing new software tools that helped the encoder cope with the wider range of programmes and programme styles the channel now had. It also allowed us to reduce the bit rate to 16Mbs with no noticeable loss of quality. The new version went live just before Wimbledon 2007 giving us an ideal opportunity to compare the image quality with the previous year's tournament. Direct comparisons between the 2006 and 2007 tournaments were very encouraging especially when matches went on late into the evening and camera gain (and therefore camera noise level) was higher than I would really like to see.

After the change I did a couple of blogs about TV set-up and about the different programme styles we were transmitting, particularly about the use of film motion (25p) and shallow depth of field (I will talk more about programme styles in a future post):


There were some complaints about the new bit rates and a few centred on the Angel Falls sequence from the Planet Earth series. This was a great sequence and it was no surprise it was one of the first to be used in the "Great Moments" promotions the channel still shows. The Great Moments promotions started after the change to 16Mbs whereas the programme was first shown with the original encoder settings shortly after the trial started.

The Angel Falls sequence was an early use of the helicopter set-up that gave the series such iconic shots but after seeing the rushes we were worried about what looked like interference on the tapes.

When the sequence first went out, the original encoder and software didn't resolve the noise but when the clip was used later, the noise was clearly visible.

angelfalls_600.jpg

angelfalls_blowup_300.jpgAbove: The Angel Fall sequence from Plant Earth from the programme tape.

Left: This is a blow up of the rocks in the picture above. The horizontal lines are noise on the original tape.



This leads me on to taking screen grabs or capturing still frames from the channel's transmission signal. It has been fascinating to see some of the stills grabbed off air. Still frames are an interesting analysis tool for picture quality and for making comparisons but they do have to be completely identical and the stills format used must either be uncompressed or the native file format of the coded frame to eliminate additional artefacts as a result of concatenation with the stills format itself.

This is an old, but useful article if you want to read more about concatenation and digital broadcasting:

https://www.ebu.ch/en/technical/trev/trev_271-dalton.pdf

Getting identical stills from an MPEG signal to use for quality comparison is not straight forward. Ideally the image should be the same to make comparisons easier but it is more important that the frame type matches. Typically MPEG 4 encodes frames as one of three types; I-Frames, P-Frames or B-Frames.

I-Frames are coded in isolation without reference to any other frame.

P- Frames (Predicted frames) are made up from the differences between the current frame and previous I or P frames, known as "reference" frames.

B-Frames (Bidirectional-predicted frames) are made up from differences between the current frame and preceding and following reference frames. Unlike MPEG2, reference frames for B-frames can be I, P or even B-frames themselves.

https://en.wikipedia.org/wiki/Video_compression_picture_types

A group of pictures may be made from a sequence of I, P and B frames starting with an I-Frame e.g. IBBPBBPBBPBB - IBBPBBPBBPBB etc. The exact order can be adapted to take account of shot changes and motion within a sequence. This grouping of frames is known colloquially as a GOP structure (Group of Pictures) - imaginative aren't we!

Although still frames are a useful tool for picture analysis, quality comparison using stills is best done with reference to the original source and using the appropriate I-Frames.

Looking through the stills that have been posted it has been really interesting to see quality of some of them, including the odd one or two that suggested the new encoder is better!

Tomorrow is a chance to look at some of the EBU documents on HD and the BBC's involvement with EBU Recommendations.

Andy Quested is Principal Technologist, HD, BBC Future Media and Technology.

Read part 1 of Andy Quested's HD guide: The Hitchhiker's Guide to Encoding: Before we start

BBC HD Christmas schedule

Post categories:

Danielle NaglerDanielle Nagler|17:41 UK time, Saturday, 5 December 2009

doctorwho_wk49_hd_pp.jpg

Hello,

I wanted to bring you news - hot off the press - of the BBC HD Christmas schedule, and to give you some insight into how it is put together.

The foundations of this year's HD Christmas started going down around a year ago, when we began to take the commissioning decisions which determine whether or not programmes get made in HD. Seasonal programmes (which may well have limited opportunities to be repeated) are in some ways less sound HD investments than programmes which can play all year round.

But while most HD-enabled sets are the main set in the home, and given that the holiday period is a key time when families and friends gather round the set together, we recognise that the HD Christmas schedule is an important part of what we deliver to our audience, and we need to get it right.

I'm really delighted that this year the vast majority of drama and comedy shows made for the holiday period are available in HD on BBC HD.

We'll be showing not just the final (two) appearances of David Tennant's Doctor Who (on Christmas and New Year's Day), but also specially made outings from The Royle Family, Gavin and Stacey, Catherine Tate, Cranford, and Victoria Wood. The week between Christmas and New Year will also see broadcasts of a remake of Day of the Triffids, The Turn of the Screw, and the Royal Shakespeare Company's Hamlet with David Tennant in the title role.

Christmas Eve will showcase music - we're showing South Pacific (the 1958 film of the musical), The Tsarina's Slippers (ballet from the Royal Opera House), and Carols from Kings. New Year's Eve will see what has become a regular date with Jools Holland's Hootenanny, and we're also using that day to show again the BBC Prom featuring the music of MGM.

We know that many of you value watching films in HD. I can reassure you that a lot of the films that the BBC is showing over Christmas will be on the channel. Please enjoy The Incredibles (on Christmas Day, following on from the Queen's Speech), Herbie: Fully Loaded, Flushed Away, and Pirates of the Caribbean: At World's End (on Boxing Day), and 101 Dalmatians, Miss Potter, Chicken Run, Mary Poppins, the Wallace and Gromit films, at various other points.

My own personal treats to look forrward to over the period include the animation of Julia Donaldson's beautiful children's classic The Gruffalo (on Christmas Day afternoon), and Top Gear's trip to Bolivia showing on 27th December.

We are starting broadcasting at around midday throughout the holiday period, and aiming of course to simulcast as much as possible with the other BBC channels showing the programmes we have in HD.

(Almost certainly?) there will be frustrations for you as viewers about what we're not showing, or not simulcasting. Making choices about what we can't do is one of the toughest parts of getting the schedule together - although somewhat inevitable when you are trying to showcase content from across the rest of the BBC channel family.

We had to make a decision on Christmas Eve about whether to offer ballet (Tsarina's Slippers, showing on BBC Two) and the film, The Lion, the Witch and the Wardrobe which is showing on BBC One. We've chosen the ballet - it is the only offer of its kind over the period, and we did show the film on BBC HD last year. On Boxing Day, because the two overlapped in the last half hour, we have chosen to simulcast with BBC One the premiere of part three of Pirates of the Caribbean, which means that Hamlet (showing on BBC Two) will be available on BBC HD on 27 December.

We've also tried - in as thoughtful a way as possible - to give you a chance to see and to share a range of the programmes we've showcased over the year. In the mix you will find Torchwood: Children of Earth, Emma, extracts from Britain from Above, the Electric Proms, Shaun the Sheep, South Pacific, Planet Earth, our series of short films, and Gigglebiz. On New Year's Day, you will find the channel dedicated to a celebration of Doctor Who. From early afternoon we will be showing all the special episodes broadcast over the year, with a range of under the bonnet Doctor Who Confidentials (made with BBC Three), some episodes from The Sarah Jane Adventures (from CBBC) and Dreamland, the Doctor Who Animation first shown on BBC Red Button.

There is more - of course - both new and old. The schedule comes together through a lot of hard work from a lot of people across and beyond the BBC, and the BBC HD team. We hope you feel it brings you the best of what is on the BBC's channels over the holiday weeks, and more than anything that you find something in the mix to enjoy.

Danielle


Danielle Nagler is the Head of BBC HD.

Round up: BBC R&D

Post categories:

Nick ReynoldsNick Reynolds|15:19 UK time, Friday, 4 December 2009

It's busy at BBC Internet Towers what with one thing or another.

But if you are of a technical bent I wouldn't want you to miss these posts from our sister blog BBC Research and Development:

George Wright has an update on the recent HD trial with P2P-Next. This has also been picked up by Torrent Freak.

Andrew Murphy introduces us to Distribution Core Technologies Section and DVB-T2

And Richard Wright's laptop has died and it's got him worried:

...several times recently I've come across major examples of 'loss of data' - and as with my hard drive, it wasn't the data itself that was lost, it was the complexity above the data that got its knickers twisted...

Enjoy and comment on all these at the Research and Development blog.

Nick Reynolds is Social Media Executive, BBC Online

The Hitchhiker's Guide to Encoding: Before we start

Post categories:

Andy QuestedAndy Quested|09:24 UK time, Friday, 4 December 2009

Friday

It's been sometime since my last post on the blog but I have tried to be as active as I could on the existing ones. I read all the posts and my thanks go to Paul Eaton who has listed many of my comments just to prove I do exist! I try to answer points raised in the blogs but unless there is a specific issue, I just can't answer each post individually.

Because there's a lot to say, I thought it would be better to serialise this blog over the next week with each episode covering a different topic. I will make no apologies for the titles and many thanks to the memory of Mr Adams.

Today: Opening and audio issues
Monday: HD encoder history
Tuesday: The EBU
Wednesday: PSNR and all that
Thursday: New encoder evaluation
Friday: Programme styles and closing thoughts

The BBC HD channel is two this weekend and in that short time we have developed one of the widest ranges of programmes you could find anywhere in a single HD package. No one is going to say it's all been perfect and in the past I have had to make a couple of very confessional blog posts when we've "just got it wrong", for example:

BBC HDTV: "The BBC's Bold Trial Of Reverse Karaoke!"
BBC HD: Olympics Opening Ceremony Surround Sound

We take every aspect of the channel very seriously and consider you to be a valuable asset when it comes to problem solving, trouble shooting or just "plain" talking! I'm sure Paul won't mind if I quote a section from Roly Keating's reply to his email:

"...Andy Quested has himself been considering the most recent exchanges on this subject, in consultation with the BBC's R&D teams, and will be posting further messages in response very shortly. Please consider my comments in conjunction with his: I hope that between us we can at least persuade you that we are paying the closest possible attention to the debates on this subject, and working constantly to keep standards as high as possible."

I want to make sure everyone who reads this blog can understand it - well maybe with the exception of the PSNR section that even leaves me with a bit of a headache! But I hope it will be clear enough so first time readers as well as those who have been posting since the beginning have an equal opportunity to comment, so I hope some of you will understand if you find it's going over old ground or in some way is not technical enough.

Before I start, it's worth saying encoder testing takes a long time because it's not just about picture quality. Before any testing starts a new encoder is checked for full compliance with the MPEG4 standards. Then it's tested for a considerable time to make sure it's compatible with existing set top boxes from different manufacturers and with the Sky platform. Then for audio compatibility (surround sound and stereo), for audio description, for subtitles and for interactive services.

Although we test the encoders on as many receivers as possible, we can only commit to a guarantee of compatibility with the supported platforms, so for satellite that's Sky and Freesat. I know several of you use DVB cards in PCs and Macs and have had problems. However there are so many different devices, options, versions and software variables, it's just not possible to check everything and therefore we cannot support these receivers properly. If you do use a DVB decoder card, have a look at this site for more help:
https://thegreenbutton.com/forums/t/73544.aspx?PageIndex=8

The next few days will give you a glimpse of some of the work done to maintain the quality of the BBC HD Channel by BBC Research & Development, our partners and to a lesser extent, me!

So to begin... Audio!

The Holes at the End of the Chain


(Or, why do s the aud o have so many h les)

Back in 2008, Rowan led a detailed overhaul of the HD Channel's audio system to make sure the new AV Sync test signal would really be sync when it arrived at your set top box!

We made sure the Channel's AV sync was within 5ms and we check it regularly to keep it there. The number of complaints about AV sync dropped to virtually zero after the signal was first shown and, with the exception of a couple of live programmes, it's been that way ever since. We've also completed thorough training sessions with all our main service suppliers to make sure they understand the issues of distribution and transmitting surround sound signals and metadata.

Recently though, we've had a couple of weeks where nothing seemed to work properly. It started with holes in the audio during Strictly Come Dancing. Your posts suggested they were on satellite and cable, so the investigation started in Television Centre. I was convinced it wasn't the right place to start, call it professional pride but we had gone through the chain pretty thoroughly, and as I said, it's checked regularly.

So I kept listening and a couple of days later I heard holes during the live Later with Jools and in the promo but this time they were much smaller. I asked our playout people to keep repeating the clip in the promo while we listened on every receiver we could find.

This proved the holes were only on the satellite output and we quickly tracked the problem to one of the HD Channel's "resilience" circuits. As soon as it was isolated, the holes stopped. We knew what had caused the problem but are still investigating why!

For 48 hours we had nice clean audio but just when I thought I could breath again and we had audio under control it promptly failed again, not once but five times!

As the first Electric Prom went to air the holes reappeared. I was watching at home so was on the phone in about 10 seconds. This time the play-out centre could hear them and they sounded like the surround signal was not synchronous with the video reference.

The Channel director went to emergency cut mode that removes all play-out processing, stopping the holes but not curing the problem. While we investigated, I decided we should use the reprocessing unit in the central switching area put in after the 2008 Eurovision Song Contest. This cleans up signals and modifies metadata if required, before transmission. It solved the problem for the next transmissions but we had not identified the cause. Timing issues are notoriously difficult to track down especially in mobile systems, but we will find it!

There was another audio problem during Thursday's prom. The programme started well but I had been warned it would be edited on site and it would be very tight to transmission, so tight in fact that the play-out machine hadn't finished caching the audio as the second half of the edit started to go out and guess what - holes in the audio. They were "real holes" that is no audio at all, and they could be clearly heard on BBC2 as well as the HD Channel, no consolation I know but we had to put this down to machine failure and unlikely to be repeated.

Back to Strictly and a live OB from Blackpool, not the sort of show you want to mix from the back end of an OB truck no matter how big! Due to running around all day and several accidents in front of me on the M40, I didn't get to a TV in time for the start and then it was BBC One only. It didn't take long for me to find out there were serious audio level problems on the HD Channel but what was worrying was no one in the broadcast chain could hear it, to me that shouts metadata!

Later that evening I listened to the programme at home and it sounded like the set top box was being over driven. Strictly has a pretty tough mix and if the metadata isn't right it will cause major problems with the dynamic range control in the set top box. By Tuesday morning, I had the tape from the OB and could see the metadata and knew what settings the sound team thought they were mixing to and, more importantly, what they actually set.

It was quite amazing hearing the difference when I switched between the two metadata settings. We have now gone through the metadata requirements for the programme and made sure they are fully implemented.

What next? The Remembrance Day service is a very important event and due to the complexity of the OB it was going to be in stereo. When the programme started I just couldn't believe I was hearing production talkback and what turned out to be Radio 4's sound. Sending a non-broadcast audio circuit, or another networks audio to air is just wrong and should never happen. The seriousness of this incident meant an immediate investigation.

On the day the links had been established in good time and a problem with the incoming talkback circuit was identified. The stream coming back from the OB contains several audio channels and communications circuits embedded into the video signal. This is quite usual and guarantees the audio and video paths are the same and therefore always sync. The stream contained the main audio, clean audio (no commentary), Radio 4 audio and communications. To help fix the talkback problem the audio channels were "shuffled" so talkback appeared in place of the main programme along with Radio 4 - this should never be done. During the final line up phase the talkback was muted and the Radio 4 audio at that point would have sounded identical to the TV audio. In other words the channel director would have had no idea anything was wrong.

Last - and it better be! Yes, Doctor Who should have been in 5.1!

Something the dubbing mixer pointed out quite forcefully on the Monday morning after transmission. Before he contacted me I had discovered the programme was only in stereo on the server but the delivered tape had the full surround audio. After a bit of investigation we discovered someone had routed one of the server ingest video tape players to another area and changed the audio replay options to a non-standard mode. When the machine was routed back to its normal role the audio set-up was not reset and the next programme in the stack for loading was Doctor Who.

Machine or circuit failure is one thing that we all have to accept happens occasionally and we apologise if it does. But I have made it clear we must stick to agreed practice and procedures because they are there to prevent errors. I hope the action we have taken will keep the audio on the channel running smoothly with no more mistakes.

In my next post I want to talk about the Channel's HD coding in general as an opener to the main encoder testing posts.

Andy Quested is Principal Technologist, HD, BBC Future Media and Technology.

Round up: Freeview HD

Post categories:

Paul MurphyPaul Murphy|18:34 UK time, Thursday, 3 December 2009

Yesterday's technical launch of Freeview HD was the big news in Internet Blog Towers and there's some good coverage out there.

Mirror.co.uk (syndicated from Electricpig.co.uk) is full of patriotic enthusiasm while pointing out that consumers shouldn't get down the High Street quite as yet:

"The technical launch, as Freeview bigwigs are calling it, makes Britain the first nation in the world to operate the new DVB-T2 standard. Yay, go us! But in itself, that causes problems. Since the UK is the only country using DVB-T2, few manufacturers are geared up to provide kit to go with it."

Reg Hardware naturally enough, gives a description of the kit on show:

"Four manufacturers had prototype receivers on show at the launch, with set-top boxes from Pace and Vestel, together with integrated Freeview HD TV sets from both Panasonic and Sony. In order to qualify for the Freeview HD logo, receivers will need to be IPTV-capable."

And there's a lively and well informed discussion on the pros and cons of Freeview HD going on in their forums.

Broadband TV News's report BBC HD quality better than ever quotes the Beeb's acting controller of distribution Graham Plumb belief that any initial problems with the new encoders in the summer are now resolved:

"I've been backwards and forwards to the Kingswood labs and compared the old coder with the new coder side by side and I have to say that the quality is as good if not better than with the original coder even though we're running at that lower bitrate".

And finally for today, Digital Spy's BBC mulls BBC HD picture quality demos intriguingly reports that:

"The BBC has revealed that it is currently evaluating staged technical demonstrations of BBC HD to alleviate the controversy around picture quality,"
and quotes Graham Plumb:
"I am thinking about that, because in terms of openness and transparency in what we do, I am trying to think of ways that we can demonstrate this to the public. Whether it's for the technies out there to see recordings of the new coder and the old coder - we could play them back-to-back so that people can actually see the things we are seeing."

Watch this space, as they say.

Paul Murphy is the Editor of the Internet blog.


BBC Radio Labs: Mooso

Post categories:

Paul MurphyPaul Murphy|14:52 UK time, Thursday, 3 December 2009

Editor's note: Over on the BBC Radio Labs blogChris Bowley has written about their latest prototype, an excellent music meets tagging game based around 6 Music. Before I hand over please note that it's currently only available to play from 7am to 7pm weekdays, and secondly it is very, very addictive. Good work!

mooso_logo.jpg

We've just launched the latest Radio Labs prototype: Mooso. It's a game you play while listening to 6 Music, in which you enter tags and suggest similar artists to describe the current track. If what you enter matches what other players enter you get points. We give more points for matching similar artists than tags and you also get a point just for playing.

To read the rest of Mooso and leave a comment please head over to the Radio Labs blog.

Welcome to projectcanvas.info

Post categories:

Richard HaltonRichard Halton|11:55 UK time, Thursday, 3 December 2009

We launched projectcanvas.info today, a hub for the partners (BBC, ITV, BT, Five) to host information about the project.

The BBC Internet blog has been an important outlet for us but as canvas has a broader audience (and is not just a BBC project) we wanted a neutral space to communicate; its content reflects the views of the partnership.

With Freeview going past 10m homes this week, and Freesat continuing to make strong progress, it's a timely reminder of the importance of the UK's free-to-air platforms. As shareholders in both of these ventures, the BBC sees project canvas as critical to keeping them relevant.


We've done a lot of work over the past six months to address a number of concerns and misconceptions about the project: and while a lot of information has been public, getting out there and talking it through has helped people better understand what we're trying to achieve. We hope this site will help even more.

The BBC's involvement in the project is of course still subject to approval by the BBC Trust and we're hopeful that the trust's emerging conclusions (that we hope will arrive soon) will be positive and move us closer to a full approval in the new year.

Pending approval, what's largely a project on paper will take bigger steps towards becoming something real. We've already started work in developing a standard with the DTG, and if the emerging conclusions permit us to do so, our intention is to start build the technologies that power the open platform, form the venture, build the user-interface, and start to turn project canvas into a real consumer proposition.

For this project to succeed, the venture also needs manufacturers to build devices (we hope to generate further support through our work with the DTG) as well as content companies to develop the applications to make content available on the platform. To that end, we intend to make technical specifications and SDKs for developers available on the canvas site, as and when we've written them.

We hope that this is site will become a focal point and that you find the site useful - if you have any questions please do get in touch via the site and we'll try to help.

Richard Halton is the Director of Project Canvas.

Keep in touch with project canvas:


BBC iD: name change to 30 characters or under

Post categories:

Nick ReynoldsNick Reynolds|08:44 UK time, Thursday, 3 December 2009

When Ian first introduced BBC iD in October Boilerplated had a rant about the length of names being displayed. He (or she?) felt that some users had names which were too long and unwieldy.

Simon Cross who is leading our BBC iD team commented at the time that we were monitoring this and that we might make some adjustments.

So we're decided to limit the name that displays when you leave a comment to thirty characters or under. This morning that change has been implemented.

We have also fixed a few bugs, which means that the name that you now choose to display in BBC iD should display correctly. This may mean that some of you may see a different name to the one you are used to. Remember that the name you choose in BBCiD is how you'll be known across BBC Online. If you are unhappy about the name which is being displayed (for example if you feel it's revealing too much personal information) then go back into your iD settings and change the name to something you are comfortable with.

If you have a name which is that is longer than 30 characters this will be cut short to fit with the 30 character limit. We estimate this will affect a very small proportion of people who use BBC blogs, message boards and communities. We apologise for any inconvenience this will cause, but these changes should result in a better and more consistent experience across BBC sites, particularly in terms of look and feel.

There are help pages here and if you are experiencing problems with your account please use membership@bbc.co.uk.

Nick Reynolds is Social Media Executive, BBC Online

Pic of the Day: Freeview HD Technical Launch

Post categories:

Paul MurphyPaul Murphy|13:15 UK time, Wednesday, 2 December 2009

freeview_hd_600.jpg

"This is not a test signal, this is a full service so it has the EPG and all the required data that goes with the signal,"
said James Jackson (above), Head of Broadcast Infrastructure, BBC as he plugged the cable labelled "Crystal Palace" into the back of one of the first Freeview HD sets to be seen out and about.

As launches go the real bit actually happened last night when they turned on DVB-T2 at the Crystal Palace and Winter Hill transmitters but this was still an exciting moment.
freeview2_600.jpg
Freeview HD sets and set top boxes are promised to be in the shops by Easter and that 50% of viewers will be able to receive the HD signal by the World Cup next year. There was a demo for a Freeview HD postcode checker that should also be going live soon.

Paul Murphy is the Editor of the Internet blog.

More from this blog...

BBC © 2014The BBC is not responsible for the content of external sites. Read more.

This page is best viewed in an up-to-date web browser with style sheets (CSS) enabled. While you will be able to view the content of this page in your current browser, you will not be able to get the full visual experience. Please consider upgrading your browser software or enabling style sheets (CSS) if you are able to do so.